La propiedad distributiva
Objetivos de aprendizaje
· Simplificar usando la propiedad distributiva de la multiplicación sobra la suma.
· Simplificar usando la propiedad distributiva de la multiplicación sobra la resta.
Introducción
La propiedad distributiva de la multiplicación es una propiedad muy útil que te permite simplificar expresiones en las que estás multiplicando un número por una suma o diferencia. La propiedad dice que el producto de una suma o diferencia, como por ejemplo 6(5 – 2), es igual a la suma o diferencia de los productos – en éste caso, 6(5) – 6(2).
Recuerda que hay varas formas de escribir una multiplicación. 3 x 6 = 3(6) = 3 • 6.
3 • (2 + 4) = 3 • 6 = 18.
La propiedad distributiva de la multiplicación sobre la suma puede ser usada cuando multiplicas un número por una suma. Por ejemplo, supongamos que quieres multiplicar 3 por la suma de 10 + 2.
3(10 + 2) = ?
De acuerdo con ésta propiedad, puedes sumar los números y luego multiplicar por 3.
3(10 + 2) = 3(12) = 36. O, puedes primero multiplicar cada sumando por 3. (A esto se le llama distribuir el 3.) Y luego, puedes sumar los productos.

La multiplicación de 3(10) y 3(2) será antes de sumar.
3(10) + 3(2) = 30 + 6 = 36. Nota que la respuesta es la misma.
Probablemente usas ésta propiedad sin darte cuenta. Cuando un grupo (digamos 5 de ustedes) ordenan comida, y ordenan lo mismo (digamos que cada uno ordena una hamburguesa por $3 cada una y una coca por $1), pueden calcular la cuenta (sin impuestos) de dos maneras. Puedes averiguar cuánto deben pagar cada uno de ustedes y multiplicar la suma por el número de personas. Entonces, cada uno paga (3 + 1) y luego multiplicas por 5. Esto es 5(3 + 1) = 5(4) = 20. O, puedes averiguar cuánto es de 5 hamburguesas y cuanto de 5 cocas y luego encontrar el total. Esto es 5(3) + 5(1) = 15 + 5 = 20. De cualquier manera, se llegará al mismo resultado, $20.
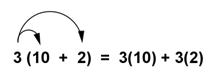
Los dos métodos son presentados en las ecuaciones siguientes. A la izquierda, sumamos 10 y 2, y luego multiplicamos por 3. La expresión se reescribe usando la propiedad distributiva en el lado derecho, donde distribuimos el 3, luego multiplicamos cada elemento por 3 y sumamos los resultados. Nota que el resultado es el mismo en cada caso.

El mismo proceso funciona si el 3 está en el otro lado de los paréntesis, como en el ejemplo siguiente.

| Ejemplo | ||
| Problema | Reescribe la expresión 5(8 + 4) usando la propiedad distributiva de la multiplicación sobre la suma. Luego simplifica el resultado. | |
|
40 + 20 = 60 |
En la expresión original, el 8 y el 4 están agrupados en paréntesis. Usando flechas, puedes ver cómo el 5 es distribuido a cada sumando. El 8 y 4 son multiplicados por 5.
Los productos resultantes se suman, y el resultado de la suma es 60. | |
|
Respuesta 5(8 + 4) = 5(8) + 5(4) = 60 | ||
| Reescribe la expresión 30(2 + 4) usando la propiedad distributiva de la suma.
A) 30(2 + 4) + 30(2 + 4)
B) 30(2) + 30(4)
C) 30(6)
D) 30(24)
|
La propiedad distributiva de la multiplicación sobre la resta es parecida a la propiedad distributiva de la multiplicación sobre la suma. Puedes restar los números y luego multiplicar, o puedes multiplicar y luego restar como se muestra a continuación. A esto se le llama “distribución del multiplicador.”

El mismo número funciona si el 5 está en el otro lado del paréntesis, como en el ejemplo siguiente.

En ambos casos, puedes simplificar la expresión distribuída para llegar a tu solución. El ejemplo de abajo, en el que el 5 es un multiplicador externo, demuestra que esto es válido. La expresión de la derecha, la cual está simplificada usando la propiedad distributiva, demuestra ser igual a 15, al igual que el resultado del valor de la izquierda.

| Ejemplo | ||
| Problema | Rescribe la expresión 20(9 – 2) usando la propiedad distributiva de la multiplicación sobre la resta. Luego simplifica el resultado. | |
|
180 – 40 = 140 |
En la expresión original, el 9 y el 2 están agrupados en paréntesis. Usando flechas, puedes ver cómo el 20 es distribuído a cada número para que el 9 y el 2 sean multiplicados por 20 individualmente.
Aquí, el producto resultante de 40 se le resta al producto de 180, resultando la solución 140. | |
|
Respuesta 20(9 – 2) = 20(9) – 20(2) = 140 | ||
|
Rescribe la expresión 10(15 – 6) usando la propiedad distributiva de la resta.
A) 10(6) – 10(15)
B) 10(9)
C) 10(6 –15)
D) 10(15) – 10(6)
|
Sumario
Las propiedades distributivas de la suma y la resta pueden ser usadas para reescribir expresiones para una variedad de propósitos. Cuando multiplicas un número por una suma, puedes sumar y luego multiplicar. También puedes primero multiplicar cada sumando y luego sumar los productos. Esto puede hacerse también con la resta, multiplicar cada número en la diferencia antes de restar. En cada caso, estás distribuyendo el multiplicador externo a cada número en el paréntesis, por lo que la multiplicación ocurre con cada número antes de realizar la suma o la resta. La propiedad distributiva será útil en los cursos de matemáticas futuros, por lo que entenderla te ayudará a construir una base matemática sólida.